File:Lee figure 6.png
From CNBH Acoustic Scale Wiki
Size of this preview: 800 × 575 pixels
Full resolution (1,281 × 920 pixels, file size: 14 KB, MIME type: image/png)
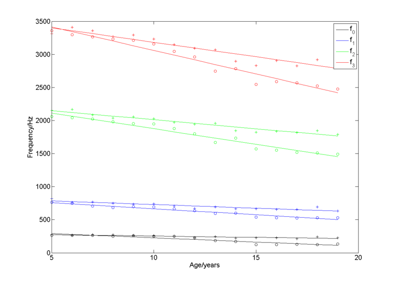
Figure 6: Formant frequency and fundamental frequency versus age from Lee, Potamianos and Narayanan (1999)
File history
Click on a date/time to view the file as it appeared at that time.
| Date/Time | Thumbnail | Dimensions | User | Comment | |
|---|---|---|---|---|---|
| current | 16:54, 4 June 2008 | 1,281×920 (14 KB) | Jjmm2 (Talk | contribs) |
- Edit this file using an external application (See the setup instructions for more information)
File links
The following 2 pages link to this file: