File:IP2008JASA Figure 05.png
From CNBH Acoustic Scale Wiki

No higher resolution available.
IP2008JASA_Figure_05.png (500 × 365 pixels, file size: 5 KB, MIME type: image/png)
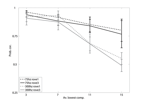
Performance on the melody task in the ancillary experiments with the 75-Hz fundamental (black lines) and the 300-Hz fundamental (grey lines). The abscissa shows the average lowest component and the ordinate shows the probability of the listener correctly identifying the note which changed. Performance is plotted separately for the two rove conditions. The dashed and solid lines show the results for LCR values of one and three respectively.
File history
Click on a date/time to view the file as it appeared at that time.
| Date/Time | Thumbnail | Dimensions | User | Comment | |
|---|---|---|---|---|---|
| current | 13:55, 21 July 2008 | 500×365 (5 KB) | Timives (Talk | contribs) | (Performance on the melody task in the ancillary experiments with the 75-Hz fundamental (black lines) and the 300-Hz fundamental (grey lines). The abscissa shows the average lowest component and the ordinate shows the probability of the listener correctly) |
- Edit this file using an external application (See the setup instructions for more information)
File links
The following page links to this file: