File:Fig8 DPjasa06.PNG
From CNBH Acoustic Scale Wiki
Size of this preview: 535 × 599 pixels
Full resolution (810 × 907 pixels, file size: 79 KB, MIME type: image/png)
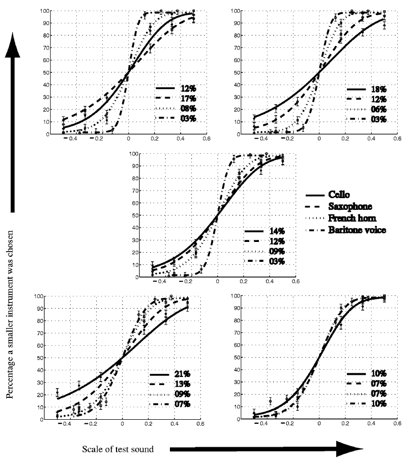
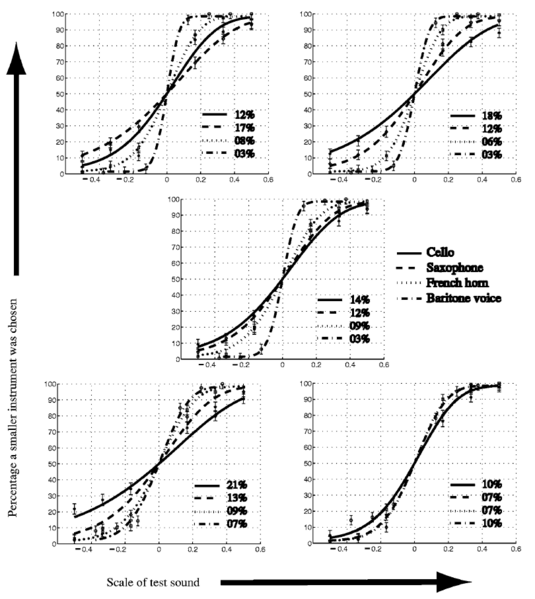
Figure 8. Psychometric functions showing average percent correct for the five conditions in Table 1. The positions of the five panels correspond to the positions in PR-RS space shown in Figure 4. The abscissa is a base-2 logarithmic scale. The solid, dashed, dotted and dashed-dotted lines are the psychometric functions for the cello, saxophone, French horn and baritone voice, respectively. The JNDs are indicated separately in each of the panels.
File history
Click on a date/time to view the file as it appeared at that time.
| Date/Time | Thumbnail | Dimensions | User | Comment | |
|---|---|---|---|---|---|
| current | 15:22, 14 August 2008 | 810×907 (79 KB) | AlessandroB (Talk | contribs) |
- Edit this file using an external application (See the setup instructions for more information)
File links
The following page links to this file: